top of page

Mt. Pleasant Christian School
"Come ye children, hearken unto me: I will teach you the fear of the LORD." (Psalm 34:11)
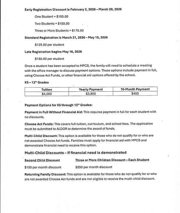
TUITION AND FEES





bottom of page

"Come ye children, hearken unto me: I will teach you the fear of the LORD." (Psalm 34:11)
TUITION AND FEES




